Attachment 5 - Non-research determination

Final-0920-0307_GISP_At 5 - IRB Deter.doc

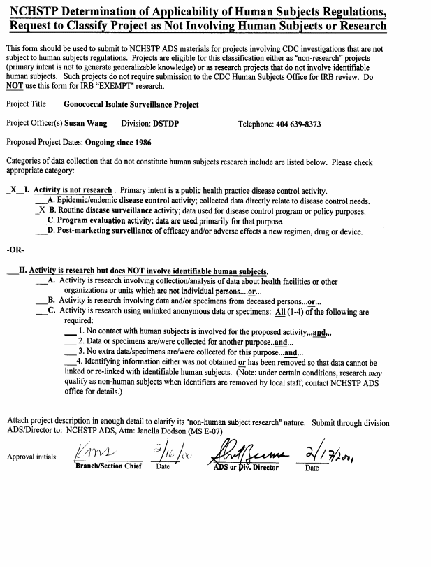
Gonococcal Isolate Surveillance Project

Attachment 5 - Non-research determination

OMB: 0920-0307

Document [doc]
Download: doc | pdf












Gonococcal Isolate Surveillance Project

OMB 0920-0307

Robert Kirkcaldy, Project Officer

Attachment 5

Determination of Non-Research




























File Typeapplication/msword
File TitleGonococcal Isolate Surveillance Project
Authorknp3
Last Modified Byixl3
File Modified2010-06-24
File Created2010-06-11

© 2025 OMB.report | Privacy Policy